Identify the Adjacency List

Computer Science Level pending

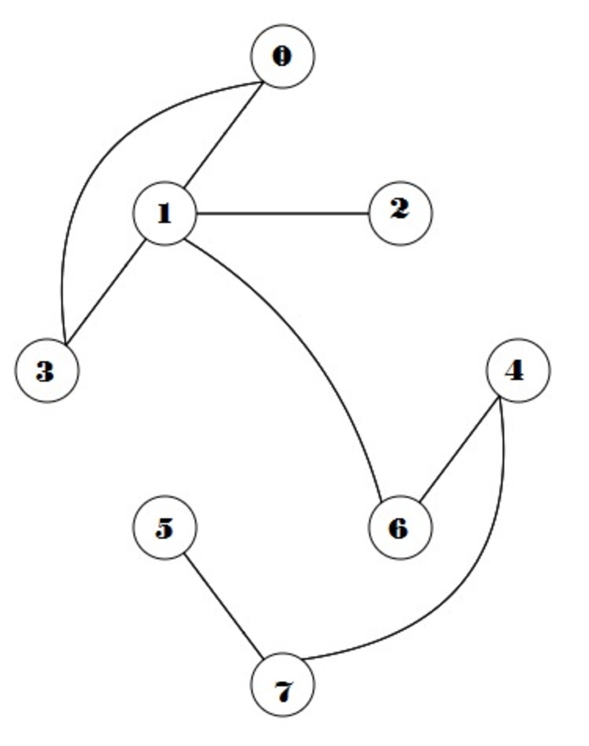
What is the Adjacency List Representation of the graph given above?

A:

B:

C:

D:

Note: Open the image in a new tab, if it is not clear!

D None of them B A C

This section requires Javascript.
You are seeing this because something didn't load right. We suggest you, (a) try refreshing the page, (b) enabling javascript if it is disabled on your browser and, finally, (c) loading the non-javascript version of this page. We're sorry about the hassle.

0 solutions

No explanations have been posted yet. Check back later!

0 pending reports

×

Problem Loading...

Note Loading...

Set Loading...